Αντοχή των Υλικών (2014-15)

Συντονιστής: University Editors

Re: Αντοχή των Υλικών (2014-15)

Δημοσίευσηαπό mike13 » Πέμ, 24 Σεπ 2015 2:25 pm

Και για το 2ο θεμα οποιος ξερει πως περιπου προχωραει
Λευτεριά στο Κουρδιστάν.Ζήτω η παγκόσμια ειρήνη.Αλληλεγύη στον σύντροφο Δημήτρη Καιρίδη.
Άβαταρ μέλους
mike13
 
Δημοσιεύσεις: 144
Εγγραφή: Παρ, 14 Φεβ 2014 7:09 pm
Έτος εισαγωγής: 2014

Re: Αντοχή των Υλικών (2014-15)

Δημοσίευσηαπό coscot » Σάβ, 26 Σεπ 2015 6:44 pm

έχει λύσει κάποιος το θέμα 2ο από τα περσυνά; Η συνισταμένη δύναμη στο κατακόρυφο κομμάτι δεν μου βγαίνει ίση με την εξωτερικά εφαρμοζόμενη..έχει κανείς ιδέα γιατί;
coscot
 
Δημοσιεύσεις: 70
Εγγραφή: Παρ, 14 Μαρ 2014 2:44 pm
Έτος εισαγωγής: 2013

Re: Αντοχή των Υλικών (2014-15)

Δημοσίευσηαπό TheMaster » Σάβ, 26 Σεπ 2015 7:08 pm

Εχεις φωτο λυσης ...? Εχεις βρει σωστα την στατικη ροπη στο τελευταιο κατω κατω τμημα ...? Μηπως εχεις ξεχασει τα "αυτια" ...?
"The funny thing about choosing sides is that you don't have to be all the way one one side or the other . It's okay to be feeling like 'this is the one I align a little bit more , ant it's not perfect,but at least there's stuff I can appreciate a little bit more on this side.'"
Άβαταρ μέλους
TheMaster
 
Δημοσιεύσεις: 866
Εγγραφή: Δευτ, 30 Δεκ 2013 2:56 am
Έτος εισαγωγής: 2013

Re: Αντοχή των Υλικών (2014-15)

Δημοσίευσηαπό manonlee » Σάβ, 26 Σεπ 2015 7:17 pm

Εμενα μου βγηκε η εξωτερικη δυναμη ιση με την εσωτερικη . Αλλα οι τασεις στο κεντρο Κ του σταυρου μου βγαινει διαφορετικη για καθε τμημα του(ΑΚ ΒΚ/ΔΚ ΓΚ ) . Εχει λογικη αυτο ?
P.S. Αυτο που παρατηρησα ομως ειναι οτι η ταση που φτανει απο την ΓΚ ειναι ιση με το αθροισμα των τασεων που φευγει προς τις αλλες τρεις κατευθηνσεις.

Σορρυ λαθος . Εγω αναφερομαι στα φετινα θεματα.
Τελευταία επεξεργασία από manonlee και Σάβ, 26 Σεπ 2015 7:22 pm, έχει επεξεργασθεί 1 φορά/ες συνολικά
manonlee
 
Δημοσιεύσεις: 7
Εγγραφή: Κυρ, 25 Σεπ 2011 10:03 pm
Έτος εισαγωγής: 0

Re: Αντοχή των Υλικών (2014-15)

Δημοσίευσηαπό TheMaster » Σάβ, 26 Σεπ 2015 7:22 pm

Απλα τα "αυτια" θα πρεπει να εχουν συμμετρικες τασεις ... Οποτε στην διακλαδωση θα πρεπει οι τασεις που "φευγουν" απο το κορμο να ειναο ισες σε καθε πλευρα ... Και νμζω πως οντως το ολο αθροισμα πρεπει να ειναι ισο , οποτε μπορει να χρησιμοποιηθει σαν επαληθευση ..
"The funny thing about choosing sides is that you don't have to be all the way one one side or the other . It's okay to be feeling like 'this is the one I align a little bit more , ant it's not perfect,but at least there's stuff I can appreciate a little bit more on this side.'"
Άβαταρ μέλους
TheMaster
 
Δημοσιεύσεις: 866
Εγγραφή: Δευτ, 30 Δεκ 2013 2:56 am
Έτος εισαγωγής: 2013

Re: Αντοχή των Υλικών (2014-15)

Δημοσίευσηαπό manonlee » Σάβ, 26 Σεπ 2015 7:33 pm

Τα 'αυτια' εχουν συμμετρικη ταση ομως πολυ μικροτερη απο αυτην που εχει ο κορμος στο ιδιο σημειο .Επισης η ταση που βρισκω λιγο πανω απο το Κ (απο την ΓΚ) ειναι μεγαλυτερη απο αυτην που βρισκω λιγο κατω απο το τμημα ΑΚ. Σε ασκησεις Γκαρουτσου ειναι παντα ισες (και δν κανει αλματα) γι'αυτο ρωταω .
manonlee
 
Δημοσιεύσεις: 7
Εγγραφή: Κυρ, 25 Σεπ 2011 10:03 pm
Έτος εισαγωγής: 0

Re: Αντοχή των Υλικών (2014-15)

Δημοσίευσηαπό coscot » Σάβ, 26 Σεπ 2015 8:55 pm

manonlee τα φετινα εννοουσα και γω. τι εκανες με τις μοναδες μετρησης; στο οριζοντιο κομματι θα χεις γραμμικο και συμμετρικο διαγραμμα τασεων με μηδενικα στα ακρα και max στο κεντρο (εμενα μου βγηκε 0,51GPa). Στο κατακορυφο τωρα και μενα μου βγηκε ασυνεχεια στο κεντρο Κ (3,36 απο το πανω κομματι και 2,28 απο το κατω, σε Gpa). Μου φαινεται λογικο το αλμα χωρις να το εχω δει καπου ή να μπορω να το εξηγησω με σιγουρια. Αμα μπορεις σε παρακαλω ανεβασε την λυση σου γιατι εχω κολλησει για τα καλα. Θενκς καλη επιτυχια
coscot
 
Δημοσιεύσεις: 70
Εγγραφή: Παρ, 14 Μαρ 2014 2:44 pm
Έτος εισαγωγής: 2013

Re: Αντοχή των Υλικών (2014-15)

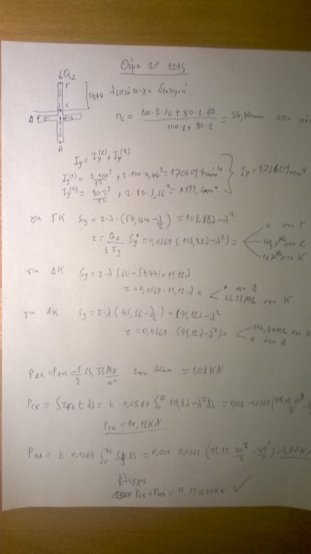
Δημοσίευσηαπό manonlee » Σάβ, 26 Σεπ 2015 10:53 pm

coscot ναι αφου το ξανασκεφτικα λογικο μου φαινεται και εμενα . Αυτη ειναι η λυση μου χωρις να ειμαι 100% σιγουρος . Καλη επιτυχια.
Συνημμένα
2015.jpg
manonlee
 
Δημοσιεύσεις: 7
Εγγραφή: Κυρ, 25 Σεπ 2011 10:03 pm
Έτος εισαγωγής: 0

Re: Αντοχή των Υλικών (2014-15)

Δημοσίευσηαπό coscot » Κυρ, 27 Σεπ 2015 12:46 am

manonlee εισαι αρχοντας! μερικές παρατηρήσεις: 1)το Ιy(1) σου έχω κάνει 1000 φορες την πράξη κ μ βγαινει διαφορετικο νουμερο δν ξερω τι φαση!, 2)στα Iy εχεις βαλει ουσιαστικα το τετραγωνακι που σχηματιζεται στο κεντρο του σταυρου 2 φορες..εισαι σιγουρος οτι γινεται ετσι; 3)στις δυνάμεις απ'οτι βλεπω εχεις βαλει το παχος σε m ενώ τα άκρα του ολοκληρώματος σε mm, γτ;
Κατα τα αλλα μου φαινεται σουπερ θα σκισεις..σε ευχαριστώ πολύ! :D
coscot
 
Δημοσιεύσεις: 70
Εγγραφή: Παρ, 14 Μαρ 2014 2:44 pm
Έτος εισαγωγής: 2013

Re: Αντοχή των Υλικών (2014-15)

Δημοσίευσηαπό Mariaklm » Κυρ, 27 Σεπ 2015 5:35 pm

στο ιδιο θεμα με την λεπτοτοιχη διατομη ,μηπως μπορει καποιος να ανεβασει λυση του κεντρου διατμησης? γιατι με βαση τη θεωρια αυτο θα πρεπε να ναι στον αξονα ζ'ζ(αξονας συμμετριας) αλλα ως προς αυτον τον αξονα οι ροπες απο τις δυναμεις που απομενουν(ΔΚ,ΒΚ) αλληλοεξουδετερονονται
Mariaklm
 
Δημοσιεύσεις: 2
Εγγραφή: Κυρ, 05 Ιαν 2014 5:57 pm
Έτος εισαγωγής: 2013

ΠροηγούμενηΕπόμενο

Επιστροφή στο 3ο Εξάμηνο

Μέλη σε σύνδεση

Μέλη σε αυτή την Δ. Συζήτηση: Δεν υπάρχουν εγγεγραμμένα μέλη και 8 επισκέπτες

cron