
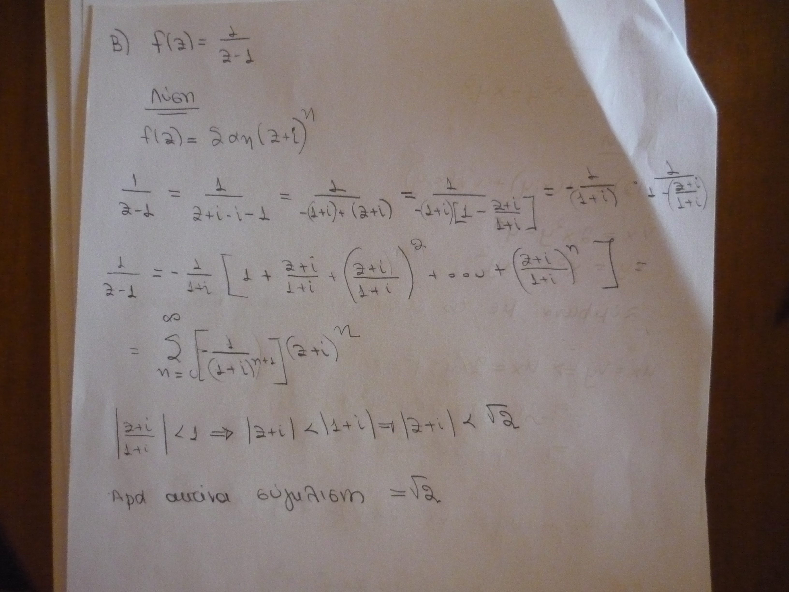
Shinden έγραψε:dean έγραψε:προς συζητηση
15/7/2011 1α) γιατι αλλαζ3εις τα προσημα στην uχ;
εχω αλλαξει στην Uy επειδη Uy=-Vx . δεν νομιζω οτι εχω αλλαξει προσημα στην Ux
Συντονιστής: University Editors
Shinden έγραψε:dean έγραψε:προς συζητηση
15/7/2011 1α) γιατι αλλαζ3εις τα προσημα στην uχ;
dean έγραψε:Shinden έγραψε:dean έγραψε:προς συζητηση
15/7/2011 1α) γιατι αλλαζ3εις τα προσημα στην uχ;
εχω αλλαξει στην Uy επειδη Uy=-Vx . δεν νομιζω οτι εχω αλλαξει προσημα στην Ux
Μέλη σε αυτή την Δ. Συζήτηση: Δεν υπάρχουν εγγεγραμμένα μέλη και 0 επισκέπτες