Αντισεισμικές Κατασκευές (2012-13)

Συντονιστής: University Editors

Re: Αντισεισμικές Κατασκευές (2012-13)

Δημοσίευσηαπό irenelimni » Κυρ, 23 Ιουν 2013 5:37 pm

Dust έγραψε:Παιδιά προσέχετε μη μπερδεύετε την Αντισεισμική Τεχνολογία Ι του Εαρινού με τις Αντισεισμικές Κατασκευές του Χειμερινού ή την Έκτακτη Εξεταστική Αντισεισμικών Κατασκευών του Χειμερινού.


χαχαχαχαχαχ...οκ Dust!!!!μην αγχώνεσαι!!!!οι του 8ου αποκλείεται να μπερδευτούμε με τόσο ντόρο για την ημερομηνία της εξέτασης!!!!!
irenelimni
 
Δημοσιεύσεις: 142
Εγγραφή: Σάβ, 22 Ιαν 2011 6:59 pm
Έτος εισαγωγής: 2009

Re: Αντισεισμικές Κατασκευές (2012-13)

Δημοσίευσηαπό ilbar » Τρί, 25 Ιουν 2013 5:41 pm

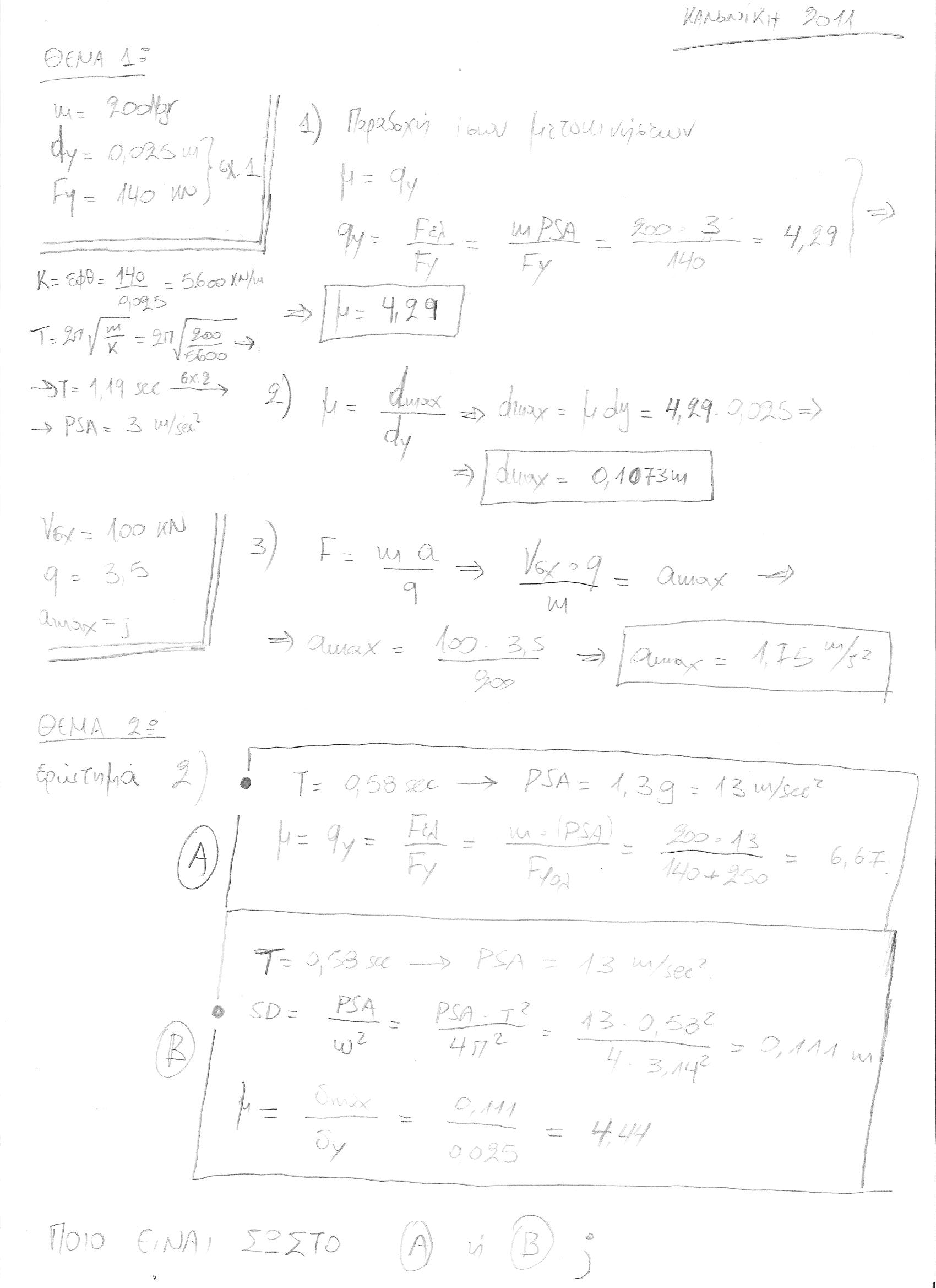
έκανα μια προσπάθεια να λύσω τα 2 πρώτα θέματα της κανονικής του 2010-2011 αλλά δεν έχω ιδέα αν είναι σωστά..αν μπορεί κάποιος που το κατέχει το σπορ να βοηθήσει, να πει το σωστό...
Συνημμένα
001.jpg
ilbar
 
Δημοσιεύσεις: 47
Εγγραφή: Κυρ, 29 Μαρ 2009 9:45 pm
Έτος εισαγωγής: 2005

Re: Αντισεισμικές Κατασκευές (2012-13)

Δημοσίευσηαπό Lost.in.Athens » Τρί, 25 Ιουν 2013 6:22 pm

Για το θέμα 2, το σωστό είναι το Β. Γενικά τα επιμέρους στοιχεία ελέγχονται βάσει μετακινήσεων συνήθως που είναι κοινές για όλα τα στοιχεία και δεν μπλέκουμε με δυνάμεις. Το Α θα ίσχυε αν το σκυρόδεμα και ο χάλυβας διέρρεαν ταυτόχρονα, πράγμα που δεν συμβαίνει.
Τώρα για το θέμα 1, έχω την εντύπωση ότι το ερώτημα 3 είναι λάθος. Τα στοιχεία που δίνει είναι περιττά θεωρώ, αφού ζητείται η απόκριση στο συγκεκριμένο σεισμό και με την πραγματική συμπεριφορά και όχι το σεισμό σχεδιασμού με τη συμπεριφορά που υποθέτουμε κατά το σχεδιασμό. Επομένως η επιτάχυνση διαρροής θα είναι Fy/m=140/200=0,7 m/s που θα είναι και η ζητούμενη, γιατί το κτήριο έχει διαρρεύσει στο σεισμό αυτό. Το πραγματικό ερώτημα βέβαια με αυτά τα δεδομένα θα έπρεπε να είναι άλλο, τι ζημιές έπαθε το κτήριο στο σεισμό. Εφόσον υπάρχει απαίτηση πλαστιμότητας από το σεισμό 4,29 και εμείς διαθέτουμε (υποθέτουμε αρχή ίσων μετακινήσεων) μ=qy=q/γRd=3,5/(140/100)=2,5, μάλλον το κτήριο έχει πάθει πολύ σοβαρές βλάβες, ίσως και κατάρρευση.
Lost.in.Athens
Επίτιμο μέλος
 
Δημοσιεύσεις: 2227
Εγγραφή: Κυρ, 07 Δεκ 2008 6:03 pm
Έτος εισαγωγής: 2008

Re: Αντισεισμικές Κατασκευές (2012-13)

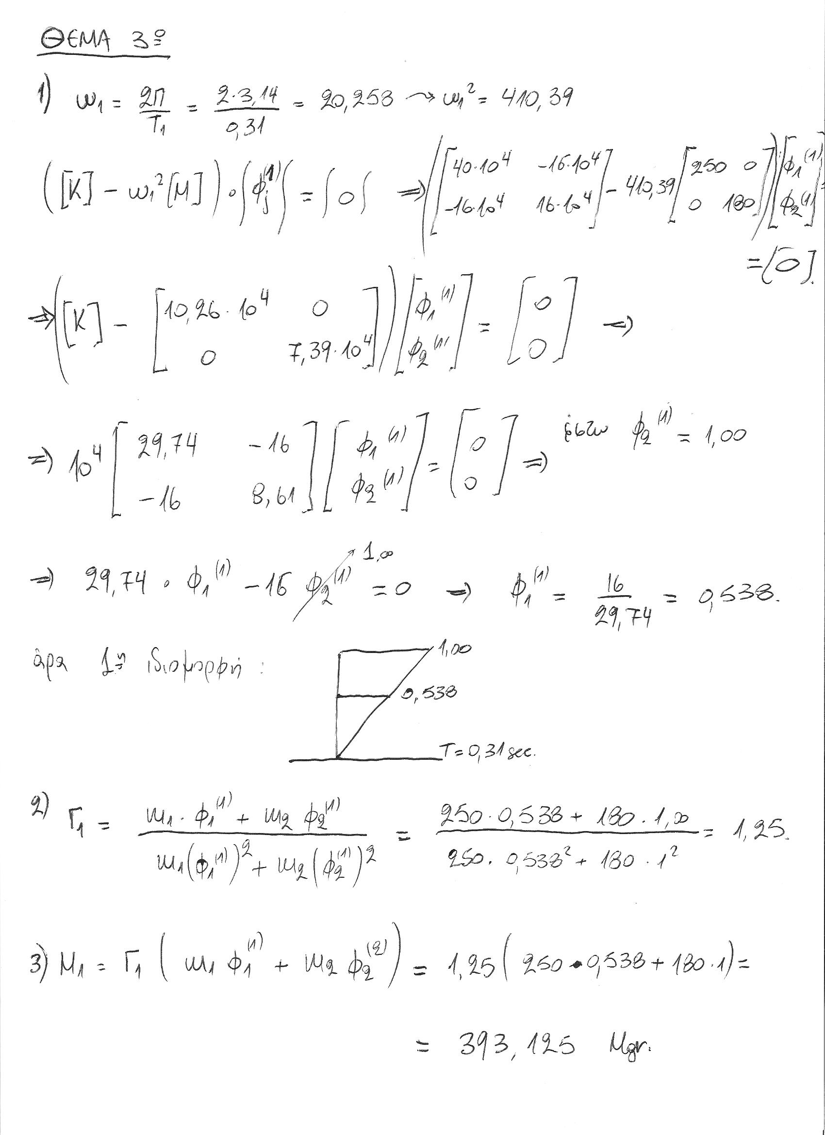
Δημοσίευσηαπό ilbar » Τρί, 25 Ιουν 2013 6:52 pm

ευχαριστώ πολύ lost αναλυτικότερος-η δεν θα μπορούσες να γίνεις...
αυτό είναι και το 3ο θέμα, το οποίο θέλω να πιστεύω πως είναι οκ.
Συνημμένα
001 (2).jpg
ilbar
 
Δημοσιεύσεις: 47
Εγγραφή: Κυρ, 29 Μαρ 2009 9:45 pm
Έτος εισαγωγής: 2005

Re: Αντισεισμικές Κατασκευές (2012-13)

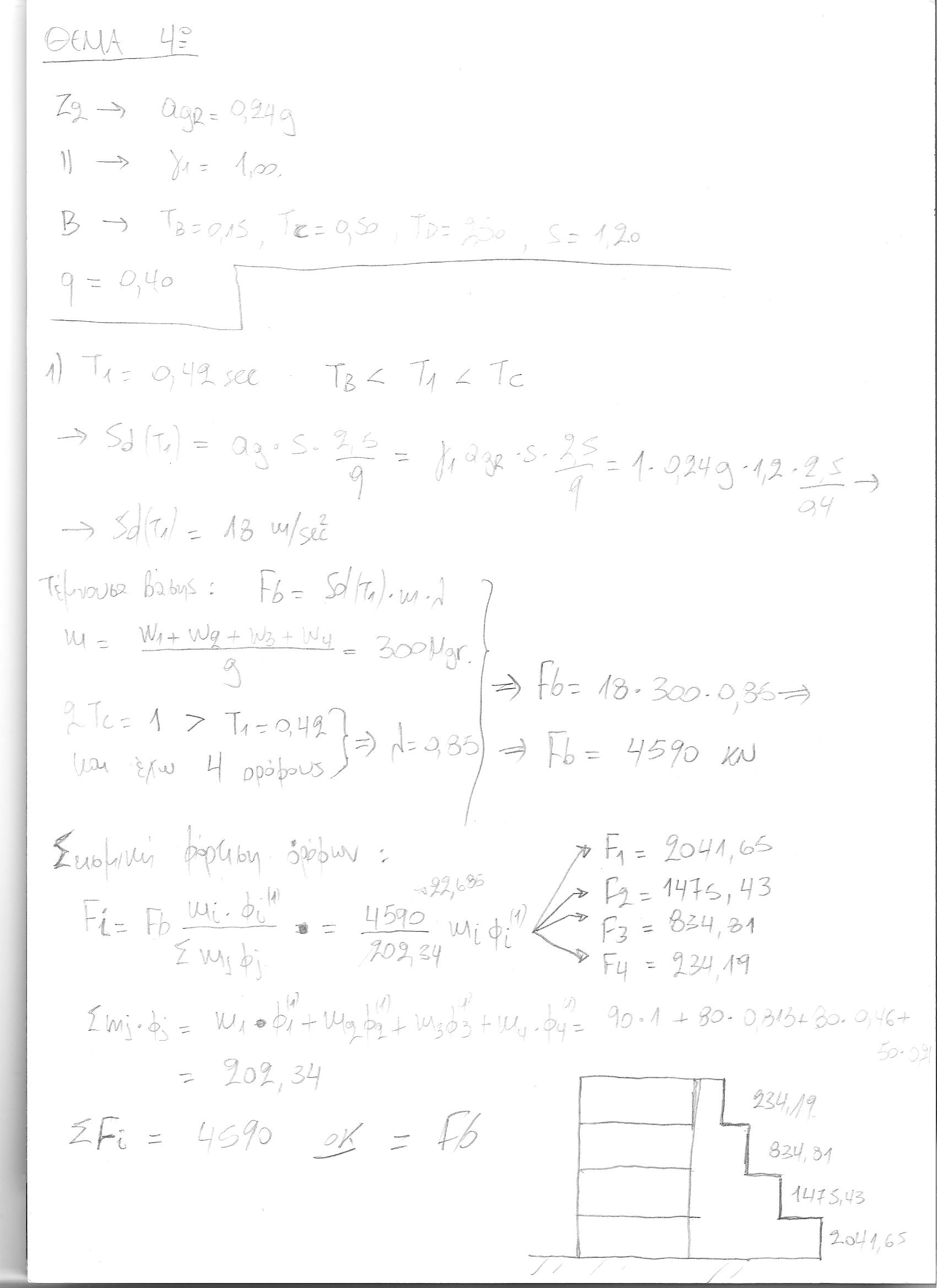
Δημοσίευσηαπό ilbar » Τρί, 25 Ιουν 2013 10:58 pm

το τέταρτο θέμα..
ξαναλέω ότι δεν ξέρω αν είναι σωστά.
όποιος θέλει και γνωρίζει ας μου πεί...
Συνημμένα
004.jpg
003.jpg
ilbar
 
Δημοσιεύσεις: 47
Εγγραφή: Κυρ, 29 Μαρ 2009 9:45 pm
Έτος εισαγωγής: 2005

Προηγούμενη

Επιστροφή στο 4ο Έτος

Μέλη σε σύνδεση

Μέλη σε αυτή την Δ. Συζήτηση: Δεν υπάρχουν εγγεγραμμένα μέλη και 0 επισκέπτες