Αντισεισμικές Κατασκευές (2015-16)

Συντονιστής: University Editors

Re: Αντισεισμικές Κατασκευές (2015-16)

Δημοσίευσηαπό dimitriossimintzis » Τετ, 02 Δεκ 2015 8:13 pm

Είναι εύκολο να ανεβάσει κάποιος την λύση της άσκησης 13 γιατί έχω μπερδευτεί?
dimitriossimintzis
 
Δημοσιεύσεις: 15
Εγγραφή: Δευτ, 05 Ιαν 2015 5:25 pm
Έτος εισαγωγής: 2003

Re: Αντισεισμικές Κατασκευές (2015-16)

Δημοσίευσηαπό Jiggly » Τετ, 02 Δεκ 2015 10:05 pm

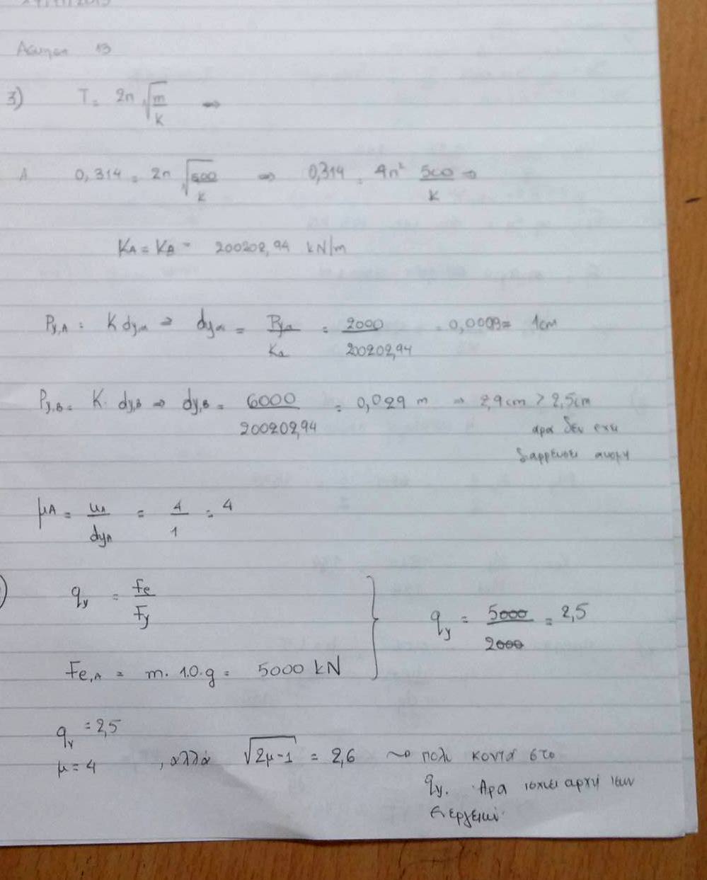
Στο πρώτο τμήμα η 13 ήταν αυτή που παραδώσαμε στην τάξη την προηγούμενη φορά.
Επειδή έτυχε όμως να την έχω σε φώτο για κάποιους φίλους που έλειπαν, την ανεβάζω...αν και πρόχειρα και όχι και τόσο αναλυτικά γραμμένη.
Ελπίζω να σε βοηθήσει κάπως!

(είναι τα ερωτήματα 3 και 1)



ασκ3.jpg

ασκ1α.jpg

ασκ1β.jpg
...άνθρωπέ μου τι ξεφτίλα,να σου χαλάνε τ'όνειρο κι εσύ να τους αφήνεις...
Άβαταρ μέλους
Jiggly
Επίτιμο μέλος
 
Δημοσιεύσεις: 1331
Εγγραφή: Παρ, 26 Οκτ 2012 8:26 am
Έτος εισαγωγής: 2012

Re: Αντισεισμικές Κατασκευές (2015-16)

Δημοσίευσηαπό dimitriossimintzis » Πέμ, 03 Δεκ 2015 9:26 am

Ευχαριστω!
dimitriossimintzis
 
Δημοσιεύσεις: 15
Εγγραφή: Δευτ, 05 Ιαν 2015 5:25 pm
Έτος εισαγωγής: 2003

Re: Αντισεισμικές Κατασκευές (2015-16)

Δημοσίευσηαπό Jiggly » Παρ, 18 Δεκ 2015 7:51 pm

Η δεύτερη πρόοδος, για το υπόλοιπο κομμάτι της ύλης, θα γίνει την Παρασκευή 15 Ιανουαρίου.

Μέχρι στιγμής έχουν γίνει οι ασκήσεις μέχρι και την 19η, ενώ για μετά τις γιορτές έχουμε να παραδώσουμε την 20η.
...άνθρωπέ μου τι ξεφτίλα,να σου χαλάνε τ'όνειρο κι εσύ να τους αφήνεις...
Άβαταρ μέλους
Jiggly
Επίτιμο μέλος
 
Δημοσιεύσεις: 1331
Εγγραφή: Παρ, 26 Οκτ 2012 8:26 am
Έτος εισαγωγής: 2012

Re: Αντισεισμικές Κατασκευές (2015-16)

Δημοσίευσηαπό Lost.in.Athens » Δευτ, 11 Ιαν 2016 2:10 pm

Επειδή ζητήθηκε στο μάθημα, στο συνημμένο υπάρχουν οι εκφωνήσεις των ασκήσεων που έχουν γίνει μέχρι τώρα


Το αρχείο ανέβηκε στο πάνελ! Ευχαριστούμε πολύ :thumbup:

Lost.in.Athens
Επίτιμο μέλος
 
Δημοσιεύσεις: 2227
Εγγραφή: Κυρ, 07 Δεκ 2008 6:03 pm
Έτος εισαγωγής: 2008

Re: Αντισεισμικές Κατασκευές (2015-16)

Δημοσίευσηαπό Jiggly » Δευτ, 11 Ιαν 2016 4:24 pm

Ευχαριστούμε πολύυυ Lost! :D :D :D
...άνθρωπέ μου τι ξεφτίλα,να σου χαλάνε τ'όνειρο κι εσύ να τους αφήνεις...
Άβαταρ μέλους
Jiggly
Επίτιμο μέλος
 
Δημοσιεύσεις: 1331
Εγγραφή: Παρ, 26 Οκτ 2012 8:26 am
Έτος εισαγωγής: 2012

Re: Αντισεισμικές Κατασκευές (2015-16)

Δημοσίευσηαπό princess » Δευτ, 11 Ιαν 2016 10:26 pm

Θα εκτιμούσαμε ιδιαιτέρως βέβαια αν μπορούσε κάποιος να ανεβάσει και την λύση της άσκησης 20!! Ευχαριστώ!
princess
 
Δημοσιεύσεις: 61
Εγγραφή: Παρ, 21 Ιαν 2011 11:49 am
Έτος εισαγωγής: 2009

Re: Αντισεισμικές Κατασκευές (2015-16)

Δημοσίευσηαπό Jiggly » Τρί, 12 Ιαν 2016 7:17 pm

Η άσκηση 20 εδώ, διορθωμένη ;)
Συνημμένα
antiseismikes20.pdf
(347.46 KiB) Έχει μεταφορτωθεί 262 φορές
...άνθρωπέ μου τι ξεφτίλα,να σου χαλάνε τ'όνειρο κι εσύ να τους αφήνεις...
Άβαταρ μέλους
Jiggly
Επίτιμο μέλος
 
Δημοσιεύσεις: 1331
Εγγραφή: Παρ, 26 Οκτ 2012 8:26 am
Έτος εισαγωγής: 2012

Re: Αντισεισμικές Κατασκευές (2015-16)

Δημοσίευσηαπό princess » Τρί, 12 Ιαν 2016 9:29 pm

:thumbup: μπραβο ρε jiggly!
princess
 
Δημοσιεύσεις: 61
Εγγραφή: Παρ, 21 Ιαν 2011 11:49 am
Έτος εισαγωγής: 2009

Re: Αντισεισμικές Κατασκευές (2015-16)

Δημοσίευσηαπό Σκληρος και ορθιος » Τετ, 27 Ιαν 2016 5:56 pm

Οι στροφεσ ειναι μεσα στην υλη ?
Σκληρος και ορθιος
 
Δημοσιεύσεις: 69
Εγγραφή: Τετ, 04 Δεκ 2013 6:41 pm
Έτος εισαγωγής: 2010

ΠροηγούμενηΕπόμενο

Επιστροφή στο 7ο Εξάμηνο

Μέλη σε σύνδεση

Μέλη σε αυτή την Δ. Συζήτηση: Δεν υπάρχουν εγγεγραμμένα μέλη και 2 επισκέπτες