Αριθμητική Ανάλυση (2017-18)

Συντονιστής: University Editors

Re: Αριθμητική Ανάλυση (2017-18)

Δημοσίευσηαπό Mggr » Τετ, 24 Ιαν 2018 7:32 pm

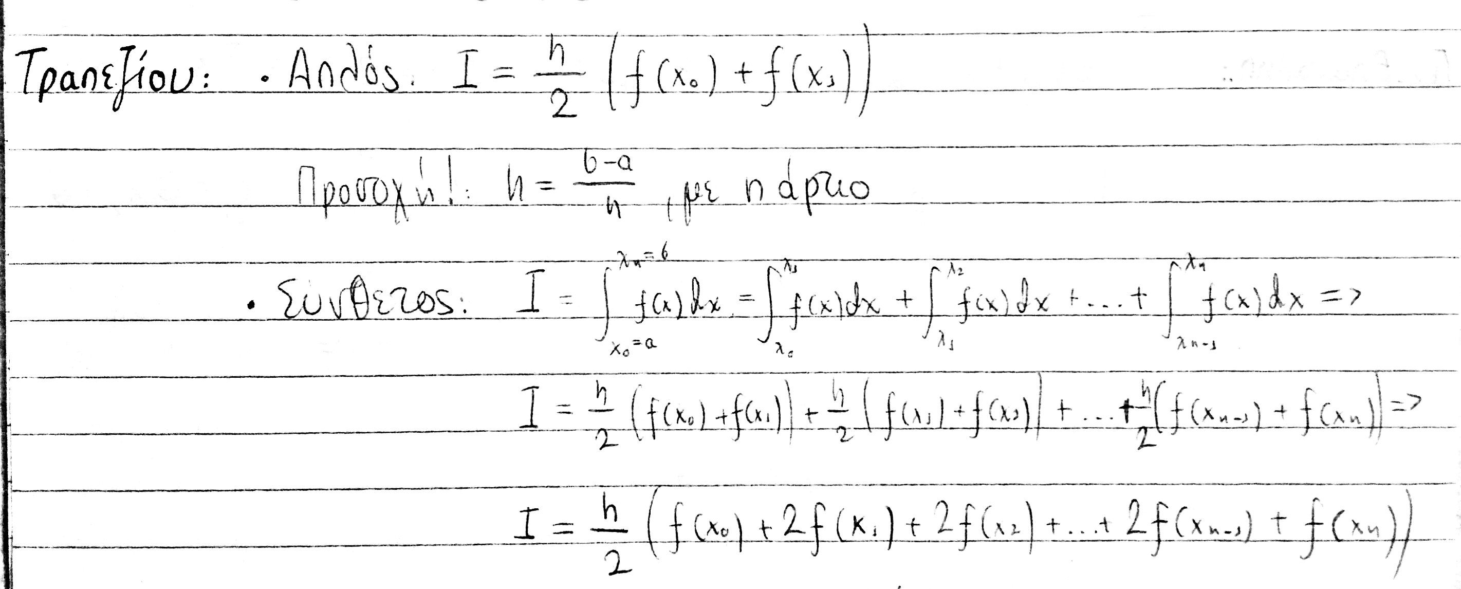
pithero έγραψε:Ξέρει κάποιος πως βγάζουμε από τον απλό τύπο του τραπεζιού η του simpson τον σύνθετο;
Είναι θέμα τα τελευταία δύο χρόνια


Απ' όσο θυμάμαι από όταν το είχα διαβάσει, μπορείς να το δείξεις με το σύντομο τρόπο της συνημμένης εικόνας (στην ουσία να τον χτίσεις σε δυο γραμμές, ξεκινώντας από τον απλό και κάτι αντίστοιχο μπορείς να κάνεις και για τον Simpson). Δεν έμαθα ποτέ βέβαια άμα αυτό αρκούσε (ή μήπως ήθελε και κάτι παραπάνω). Οποιαδήποτε παρατήρηση ή διευκρίνηση είναι ευπρόσδεκτη, ώστε να λυθεί με σιγουριά η παραπάνω απορία.
Συνημμένα
aplos_sunqetos_trapeziou.jpg
Άβαταρ μέλους
Mggr
Επίτιμο μέλος
 
Δημοσιεύσεις: 127
Εγγραφή: Πέμ, 03 Μαρ 2016 3:07 pm
Έτος εισαγωγής: 2015

Re: Αριθμητική Ανάλυση (2017-18)

Δημοσίευσηαπό rabbip » Σάβ, 08 Σεπ 2018 3:11 pm

 Μηπως καποιος εχει τα θέματα Φεβρουαριου 2018;
rabbip
 
Δημοσιεύσεις: 28
Εγγραφή: Τρί, 28 Μαρ 2017 1:22 pm
Έτος εισαγωγής: 0

Re: Αριθμητική Ανάλυση (2017-18)

Δημοσίευσηαπό Darkiz » Κυρ, 20 Ιαν 2019 4:00 pm

Καλησπερα. Υπάρχουν καπου τα θεματα των τελευταιων εξεταστικων; εννοω δηλαδη τα περσινα.
Darkiz
 
Δημοσιεύσεις: 197
Εγγραφή: Σάβ, 07 Οκτ 2017 2:16 am
Έτος εισαγωγής: 2017

Re: Αριθμητική Ανάλυση (2017-18)

Δημοσίευσηαπό karn » Τρί, 22 Ιαν 2019 10:22 pm

Καλησπερα.
Στο mycourses του μαθηματος αναγραφεται στην υλη η μέθοδος newton raphson για μη γραμμικα συστηματα.
Ισχυει οτι ειναι εντος υλης;
Γιατι στις σημειωσεις μου δεν το βρισκω πουθενα.
Φυσικα επειδη ειχα χασει 2 μαθηματα ειμαι επιφυλακτικος μηπως διδαχθηκε σε αυτα.
karn
 
Δημοσιεύσεις: 212
Εγγραφή: Δευτ, 22 Ιαν 2018 2:05 am
Έτος εισαγωγής: 2016

Re: Αριθμητική Ανάλυση (2017-18)

Δημοσίευσηαπό marianthi.g » Τρί, 05 Μαρ 2019 10:57 pm

Τα θέματα Ιανουαρίου 2017-2018

Ευχαριστούμε πολύ για την προσφορά σου!! :D

marianthi.g
 
Δημοσιεύσεις: 3
Εγγραφή: Τετ, 25 Ιαν 2017 2:49 pm
Έτος εισαγωγής: 2016

Re: Αριθμητική Ανάλυση (2017-18)

Δημοσίευσηαπό Kcr565 » Τρί, 15 Σεπ 2020 1:53 pm

Γνωρίζουμε αν στην εξέταση δίνεται ένα τυπολόγιο ή όλοι απέξω τα μαθαίνουμε?
“No one gets left behind, remember?”
Άβαταρ μέλους
Kcr565
 
Δημοσιεύσεις: 294
Εγγραφή: Σάβ, 19 Δεκ 2015 6:39 pm
Έτος εισαγωγής: 0

Re: Αριθμητική Ανάλυση (2017-18)

Δημοσίευσηαπό Darkiz » Τρί, 15 Σεπ 2020 2:01 pm

Kcr565 έγραψε:Γνωρίζουμε αν στην εξέταση δίνεται ένα τυπολόγιο ή όλοι απέξω τα μαθαίνουμε?


Aν θυμαμαι καλα, δεν δινοταν τιποτα.
Απ έξω όλα δηλαδή.
Darkiz
 
Δημοσιεύσεις: 197
Εγγραφή: Σάβ, 07 Οκτ 2017 2:16 am
Έτος εισαγωγής: 2017

Re: Αριθμητική Ανάλυση (2017-18)

Δημοσίευσηαπό GeorgieP » Πέμ, 21 Ιαν 2021 2:18 pm

Καλησπέρα παιδιά ,
Αν υπάρχει κάποιος που παρακολούθησε αυτό το 6μηνο (2020-21) και συμμετείχε στην ενδιάμεση εξέταση,
θα μπορούσε να περιγράψει τη διαδικασία ,ή αν θυμάται μερικά ερωτήματα ;
Έξι χρόνια στο δημοτικό. Έξι χρόνια στο γυμνάσιο, δώδεκα. Έξι χρόνια στο πολυτεχνείο, δεκαοχτώ. Έξι χρόνια στο εξωτερικό, εικοσιτέσσερα. Και έξι χρόνια μέχρι που να πάω σχολείο, τριάντα. Μέχρι τα τριανταέξι που είμαι, ακόμα άλλα έξι χρόνια. Πού πήγανε; Τι γίνανε έξι χρόνια;
Άβαταρ μέλους
GeorgieP
 
Δημοσιεύσεις: 23
Εγγραφή: Πέμ, 02 Απρ 2015 1:45 am
Έτος εισαγωγής: 0

Re: Αριθμητική Ανάλυση (2017-18)

Δημοσίευσηαπό Adansonia » Τετ, 24 Μάιος 2023 11:26 am

Έχει κάποιος ενημέρωση για την έκτακτη εξέταση του μαθήματος;
Έχω στείλει mail στον καθηγητή και δεν έχω λάβει απάντηση. Ούτε έχει αναρτηθεί κάτι στο πρόγραμμα.
Άβαταρ μέλους
Adansonia
 
Δημοσιεύσεις: 40
Εγγραφή: Παρ, 06 Φεβ 2015 2:51 am
Έτος εισαγωγής: 0

Προηγούμενη

Επιστροφή στο 3ο Εξάμηνο

Μέλη σε σύνδεση

Μέλη σε αυτή την Δ. Συζήτηση: Δεν υπάρχουν εγγεγραμμένα μέλη και 13 επισκέπτες