Αριθμητική Ανάλυση (2010-11)

Συντονιστής: University Editors

Re: Αριθμητική Ανάλυση (2010-11)

Δημοσίευσηαπό giorgos89 » Σάβ, 05 Φεβ 2011 3:17 am

Ευχαριστώ! :thumbup:
giorgos89
 
Δημοσιεύσεις: 143
Εγγραφή: Τετ, 18 Φεβ 2009 12:14 pm
Έτος εισαγωγής: 2008

Re: Αριθμητική Ανάλυση (2010-11)

Δημοσίευσηαπό alexkyr » Δευτ, 07 Φεβ 2011 6:46 am

πριν 3 χρονια που το ειχα δωσει ειχα εκτυπωσει απο καπου ενα πακετο φυλλαδια που νομιζω ειχε θεωρια μεσα και σιγουρα ολες τις αποδειξεις.μηπως γνωριζει κανεις αν υπαρχει κατι τετοιο σα πακετο στο mycourses η καπου αλλου???εχει πολλα και διασπαρτα
alexkyr
 
Δημοσιεύσεις: 8
Εγγραφή: Κυρ, 08 Νοέμ 2009 8:46 pm
Έτος εισαγωγής: 2004

Re: Αριθμητική Ανάλυση (2010-11)

Δημοσίευσηαπό MAKIA182 » Τετ, 09 Φεβ 2011 1:41 pm

@alexkyr υπαρχουν στο mycourses στα εγγραφα αυτο που ζητας.
και μια ερωτηση!
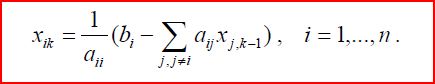
Οταν μας πει να λυσουμε μια ασκηση με μεθοδο JAcobi εφαρμοζουμε αυτο
Καταγραφή.JPG
οπως υπαρχει και στις ανεβασμενες σημειωσεις
ή απο αυτο χ(κ)=D(k-1)+c βρισκουμε το D,c με τους πινακες ( εχουμε πει δηλ οτι A=Q-P αρα το D=P*Q^(-1) κλπ και κανουμε προσθεσεις και πολλαπλασιασμους πινακων) και μετα ξεκιναμε τις επαναληψεις;
“You never change things by fighting the existing reality.
To change something, build a new model that makes the existing model obsolete.”

~Richard Buckminster Fuller
MAKIA182 Σημαντική βοήθεια στο MQN.gr
 
Δημοσιεύσεις: 533
Εγγραφή: Τρί, 23 Φεβ 2010 4:19 pm
Έτος εισαγωγής: 2009

Re: Αριθμητική Ανάλυση (2010-11)

Δημοσίευσηαπό Kouf » Τετ, 09 Φεβ 2011 2:07 pm

ΜΑΚΙΑ182 Τον τυπο αυτον θα τον χρησιμποησεις αν σου δωσει το συστημα και σου ζητησει να κανεις καποιες επαναληψεις και μονο!!Αν πχ σου ζηταει και μια καλη προσεγγιση σφαλματος τοτε εισαι υποχρεωμενη να βρεις και τον πινακα D διοτι περιεχεται στον τυπο της προσεγγισης σφαλματος.Δηλαδη μπορεις να το λυνεις παντα ετσι με τον τυπο των επαναληψεων και μετα να βρισκεις τον πινακα D και να βρισκεις και την προσεγγιση ή να το κανεις κανονικα με τον ορισμο να βρισκεις τους πινακες κτλ(οπως κανει ο Γκαρουτσος),κανε οτι σου βγει εκεινη τη στιγμη!
Πάθος για ζωή
Άβαταρ μέλους
Kouf Σημαντική βοήθεια στο MQN.gr
 
Δημοσιεύσεις: 281
Εγγραφή: Πέμ, 10 Δεκ 2009 8:28 pm
Έτος εισαγωγής: 2009

Re: Αριθμητική Ανάλυση (2010-11)

Δημοσίευσηαπό MAKIA182 » Τετ, 09 Φεβ 2011 2:14 pm

Σε ευχαριστω πολυ Kouf!
“You never change things by fighting the existing reality.
To change something, build a new model that makes the existing model obsolete.”

~Richard Buckminster Fuller
MAKIA182 Σημαντική βοήθεια στο MQN.gr
 
Δημοσιεύσεις: 533
Εγγραφή: Τρί, 23 Φεβ 2010 4:19 pm
Έτος εισαγωγής: 2009

Re: Αριθμητική Ανάλυση (2010-11)

Δημοσίευσηαπό pitsikoulini » Τετ, 09 Φεβ 2011 5:16 pm

Μήπως μπορεί κάποιος που παρακολουθούσε το μάθημα να αναφέρει τι είδους αποδείξεις μπορεί να ζητηθούν;
pitsikoulini
 
Δημοσιεύσεις: 36
Εγγραφή: Κυρ, 31 Ιαν 2010 3:05 pm
Έτος εισαγωγής: 2009

Re: Αριθμητική Ανάλυση (2010-11)

Δημοσίευσηαπό morisson » Τετ, 09 Φεβ 2011 5:31 pm

Εγώ πέρυσι το έδωσα το μάθημα αλλά αφού δεν άλλαξαν οι καθηγητές, πάνω κάτω πιστεύω θα είναι τα ίδια.Οπότε γυρίστε στο περσινό τόπικ και δείτε:

viewtopic.php?f=7&t=1154&start=10#p19499

viewtopic.php?f=7&t=1154&start=20#p19594

viewtopic.php?f=7&t=1154&start=20#p19905

Αυτά τα 4,5 πράγματα ζητάνε απο αποδείξεις θεωρία.
...brothers and sisters of the pale forest
children of night
who among you will run with the hunt?
Άβαταρ μέλους
morisson
Επίτιμο μέλος
 
Δημοσιεύσεις: 2306
Εγγραφή: Τρί, 09 Δεκ 2008 5:27 pm
Τοποθεσία: On the corner of Rush Street and Chestnut Street.
Έτος εισαγωγής: 2008

Re: Αριθμητική Ανάλυση (2010-11)

Δημοσίευσηαπό konstantinos89 » Τετ, 09 Φεβ 2011 6:09 pm

Γεια χαρά παιδιά και καλή επιτυχία να έχουμε!
Ερώτηση: Επειδή διαβάζω από Γκαρούτσο μπορεί κάποιος να μου πει για ευκολία ποιες παραγράφους να μη διαβάσω βάσει της φετινής ύλης; Ή αν πρέπει (πέρα από τις αποδείξεις) να διαβάσω κάτι επιπλέον από το βιβλίο, που δεν καλύπτει ο Γκαρούτσος;
Ευχαριστώ εκ των προτέρων!
konstantinos89
 
Δημοσιεύσεις: 24
Εγγραφή: Τετ, 02 Ιουν 2010 7:23 pm
Έτος εισαγωγής: 2006

Re: Αριθμητική Ανάλυση (2010-11)

Δημοσίευσηαπό apostolis » Τετ, 09 Φεβ 2011 9:29 pm

ερωτηση!!ποια ειναι τα δυο κριτηρια συγλισης της γενικης επαναλιπτηκης μεθοδου στις εξισωσεις??το ενα ειναι [g'(x)]<1....το αλλο??ευχαριστω!
apostolis
 
Δημοσιεύσεις: 171
Εγγραφή: Πέμ, 05 Νοέμ 2009 1:16 am
Έτος εισαγωγής: 2009

Re: Αριθμητική Ανάλυση (2010-11)

Δημοσίευσηαπό intelx86 » Τετ, 09 Φεβ 2011 9:32 pm

Τσέκαρε σελίδα 125 Θεώρημα 3.2
και σελίδα 127 Θεώρημα 3.3
(βιβλίο Σοφιανού-Τυχόπουλου)
Ποιος είδε τον ικανοτικό και δεν τον φοβήθηκε

I used to be an adventurer like you.
Then I took a longitudinal reinforcement in the knee.


Εθνικό Μετσόβιο Πολυτεχνείο
Απολαύστε υπεύθυνα...
Άβαταρ μέλους
intelx86
Ιδρυτικό Μέλος
 
Δημοσιεύσεις: 2211
Εγγραφή: Παρ, 16 Μάιος 2008 8:28 pm
Τοποθεσία: 127.0.0.1
Έτος εισαγωγής: 2006

ΠροηγούμενηΕπόμενο

Επιστροφή στο 2ο Έτος

Μέλη σε σύνδεση

Μέλη σε αυτή την Δ. Συζήτηση : Δεν υπάρχουν εγγεγραμμένα μέλη και 1 επισκέπτης