
Ευχαριστούμε melenenody για τα θέματα! Το αρχείο ανέβηκε στο πάνελ
Συντονιστής: University Editors
Ευχαριστούμε melenenody για τα θέματα! Το αρχείο ανέβηκε στο πάνελ
Ευχαριστούμε πολύ!Τα θέματα ανέβηκαν στο πάνελ
Ευχαριστούμε πολύ!
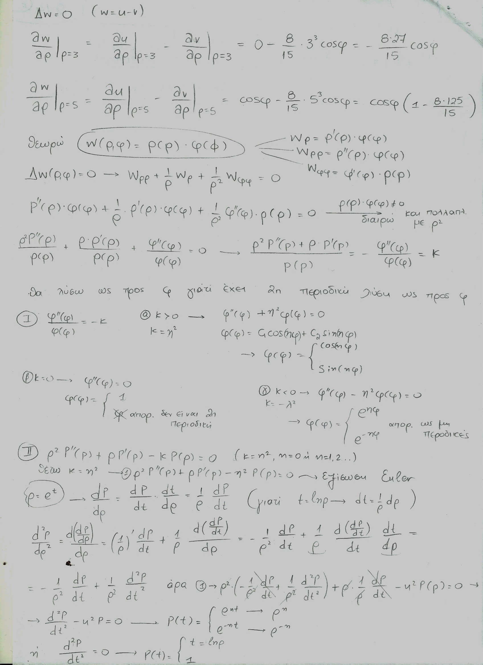
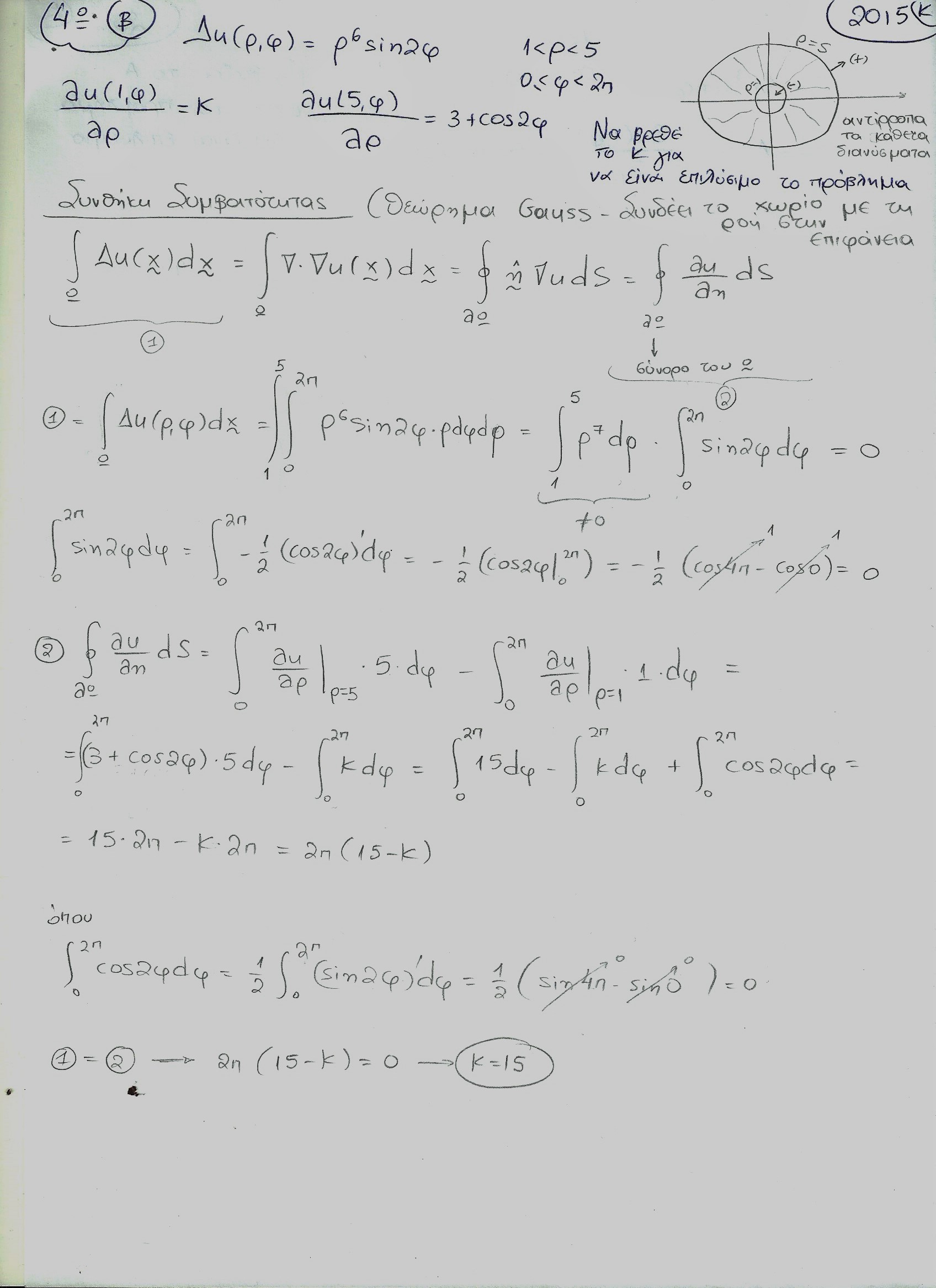
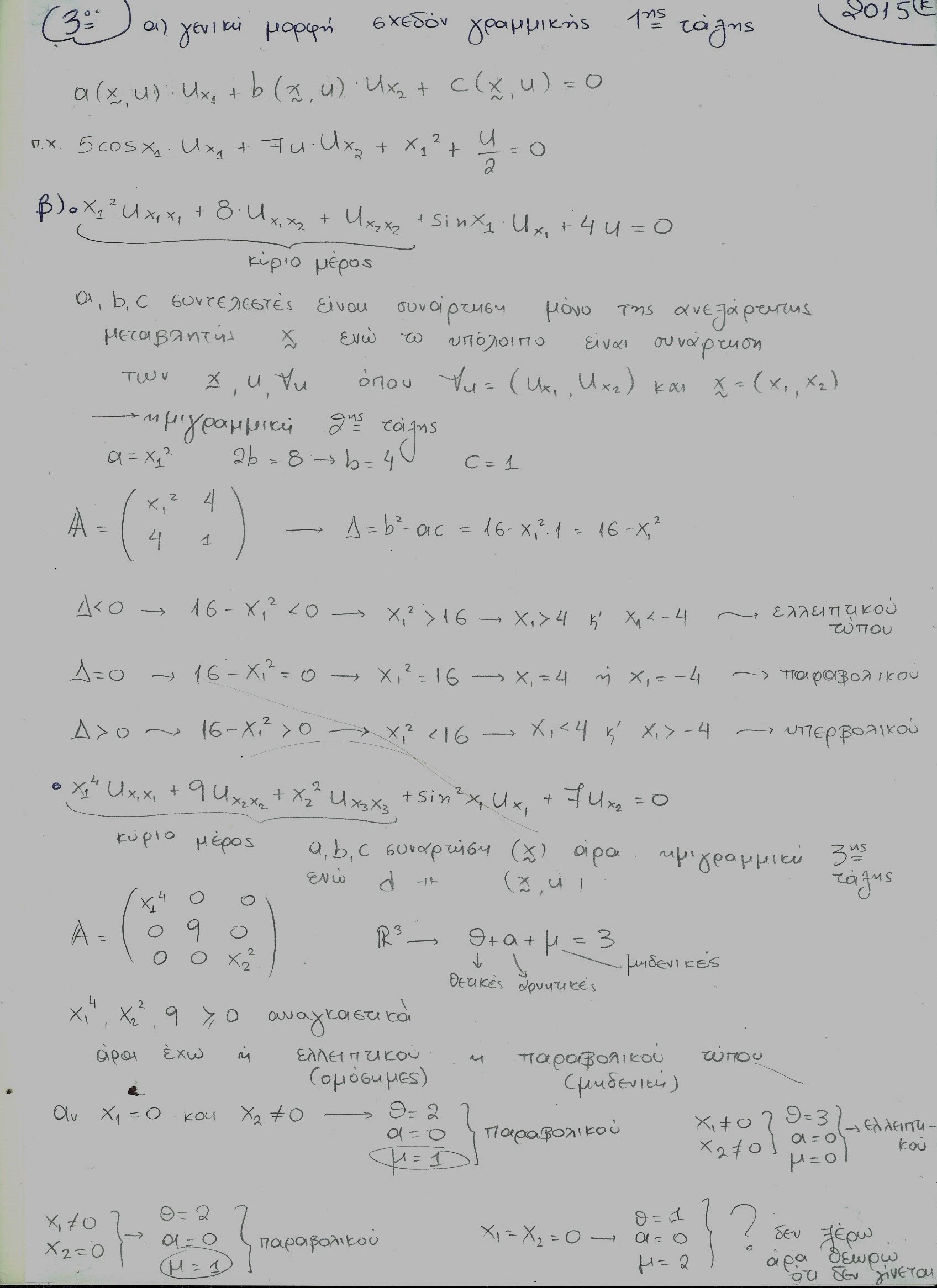
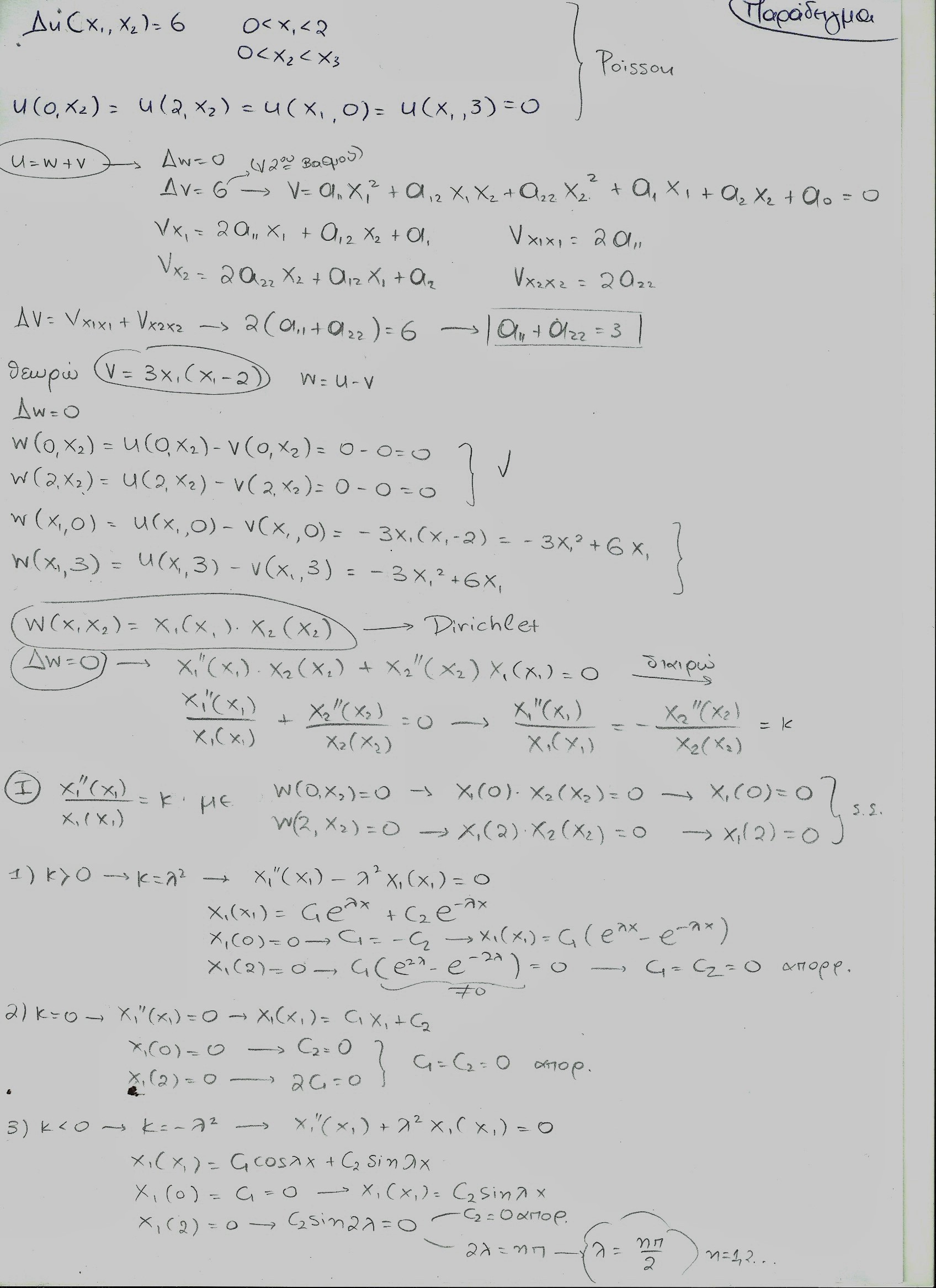
glim έγραψε:Τα θέματα της στατικής 2 του Ιανουαρίου 2015-2016 αν δεν έχουν ήδη ανέβει θα φανούν χρήσιμα.
Ευχαριστούμε πολύ! Τα θέματα ανέβηκαν στο πάνελ
Ευχαριστούμε πολύ.Τα αρχεία ανέβηκαν στο πάνελ
Ευχαριστούμε πολύ! Το αρχείο ανέβηκε στο πάνελ
Μέλη σε αυτή την Δ. Συζήτηση: Δεν υπάρχουν εγγεγραμμένα μέλη και 7 επισκέπτες